Question: How do we use complex conjugates to divide imaginary numbers?
The FIRST step you should know in order to solve how to use complex conjugates to divide imaginary numbers? Is to know what a complex conjugate are a pair of complex numbers, both having the same real part, but with imaginary parts of equal magnitude and opposite signs.
For Example:
The complex conjugate of 4-7i is 4+7i
The SECOND step you should know when it comes to dividing complex conjugates or imaginary numbers. Is that you have to find the complex conjugate of the denominator. With that newly found conjugate you multiply the denominator and numerator with that same conjugate. As shown in the first highlighted section below:
For Example:
The THIRD step is to simplify.
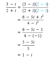
Here is a more easy example or question that shows the process of using complex conjugates to divide imaginary numbers.
Now solve this problem:
(4+2i/6+3i)
*remember imaginary numbers such as 6i, 3i,4i and etc.
answer: 8-6i/15
ReplyDelete